Fundamentális elemzés / Érték

A nettó jelenérték (angolul Net Present Value, rövidítve NPV) egyszerű és jól ismert módszer annak meghatározására, hogy érdemes-e belekezdeni egy üzleti projektbe vagy befektetésbe.
Amikor egy üzleti projektet szeretnénk megvalósítani, először ki kell számolnunk a jövedelmezőséget, vagyis hogy milyen hasznot fog hozni a jövőben.
Így logikus, hogy a projektnek magasabb jövedelmezőséggel kell rendelkeznie a kockázatmentes fix hozamú befektetéseknél. Amennyiben ez nincs így, akkor jobb, ha nem bonyolítjuk az életünket befektetéssel és az összes velejáró fejfájással.
Lényegében tehát ha a kockázatmentes fix hozamú befektetések nagyobb jövedelmezőséget kínálnak, mint a tervbe vett projekt, akkor a legegyszerűbb és legkényelmesebb államadósságba vagy (nagyon alacsony kockázatú) vállalati adósságba befektetni.
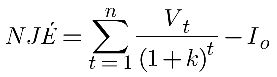
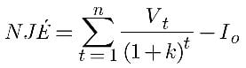
Az NJÉ-t úgy számítjuk ki, mint a befektetésből származó várható szabad cash flow-k jelenértékét, mínusz a kezdeti befektetés. Így a következő változókat kell ismernünk:
Io = kezdeti befektetés a jelenben
Vt = jövőbeli cash flow-k minden t időszakban
n = a projekt időszakainak száma
k = fix hozamú kamatláb

👉 További információ: Fundamentális elemzés a tőzsdén
Minden jövőbeli pénzáramlást diszkontáltunk a fix kamatozású befektetés kamatlábával. Ily módon minden pénzáramlásnak kiszámoljuk a jelen pillanatra érvényes értékét, majd összegükből levonjuk belőlük az eredeti befektetést. Így kapjuk meg a nettó jelenértéket, amely az elvárt hozam abszolút és jelenértékben kifejezett mértéke.
Nyilvánvaló, hogy egy befektetési projekt elfogadásához számos olyan tényezőt is figyelembe kell venni, amit a nettó jelenérték nem tartalmaz, de jó kiindulópont a projekt értékeléséhez.
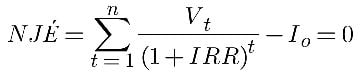
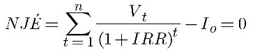
A képlet egy változatában a NJÉ nullával egyenlő, és kiszámítjuk a belső megtérülési rátát (IRR), ami a projekt által biztosított kamatláb. Ennek megint csak magasabbnak kell lennie a kockázatmentes fix kamatozású befektetés kamatlábánál.

👉 További információ: Mi az a diszkontált pénzáramlás (DFC) szerinti értékelés, és mire való?
A széles körben használt Excel alkalmazásban a pénzügyi képletek között megtalálható a NJÉ függvény (ami megfelel a Google Táblázatokban elérhető NJÉ képletnek). Ez kiadja a nettó jelenértéket egy pénzáramlási sor és egy diszkontráta alapján. Figyelembe veendő, hogy az Excelben a jövőbeli kifizetések a periódus végén történnek. Ezért nem szabad az induló befektetést belefoglalni a kifizetések mátrixába, hanem külön kell hozzáadni (negatív előjellel, mert pénzkiadás). Például vegyük azt, hogy van egy 80 pénzegységnyi befektetésünk 5 évre, 5%-os kamatláb mellett - a pénzáramlások pedig az alábbiak:
1. időszak = 20 p.e.
2. időszak = 10 p.e.
3. időszak = 10 p.e.
4. időszak = 50 p.e.
5. időszak = 10 p.e.
Az NJÉ 5,73 > 0
Ezért a projekt elfogadható, mivel felülmúltuk a fix hozamot.

A befektetés veszteség kockázatával jár.
A kiskereskedelmi befektetők 71%-a veszít pénzt CFD-kkel való kereskedés során.
A befektetett tőkéd kockázatnak van kitéve.