Opciókkal történő kereskedés

Az opciós kereskedésnek hosszú történelmi múltja van, amely az ősi időkig nyúlik vissza. Az opciós ügyletek a mai dinamikus pénzügyi világban is számos lehetőséget kínálnak a befektetőknek, akik diverzifikálni szeretnék portfóliójukat és optimalizálni a hozamokat.
Akár spekulálni szeretnél, akár megvédenéd befektetéseidet vagy állandó jövedelemforrást generálnál, ez a cikk igyekszik felvértezni téged a hatékony opciós kereskedéshez szükséges tudással és eszközökkel.

Az opciós kereskedésnek hosszú története van, amely az ókori Görögországig és Rómáig nyúlik vissza, de a 17. századi Hollandia aranykorában kezdett olyan formát ölteni, amely nagyon hasonló a maihoz.
A 17. században Amszterdam vált a világ kereskedelmi központjává a Holland Kelet-indiai Társaságnak köszönhetően, amely az első cégek közé tartozott, ami részvényeket és kötvényeket bocsátott ki a befektetők számára.
Ennek következtében megjelentek az első kereskedők, akik olyan szerződéseket kötöttek, amelyek jogot adtak nekik a részvények és kötvények jövőbeli dátumon, előre meghatározott áron történő vásárlására vagy eladására. Ezeket az úttörő szerződéseket tekintik általában a modern pénzügyi opciók előfutárának.
Érdemes megjegyezni, hogy a híres tulipánláz idején az opciók jelentős szerepet játszottak a tulipánhagymák jogaihoz kapcsolódó derivatív eszközökön keresztül:

A következő évszázadokban az opciós kereskedés tovább fejlődött és egyre kifinomultabbá vált. A 20. században, a számítástechnika fejlődésével és a fejlett matematikai modellek, mint például a Black-Scholes modell megalkotásával lehetővé vált az opciók pontosabb értékelése.

Manapság az opciós kereskedés elengedhetetlen része a pénzügyi piacoknak.
Az opciókat mind spekulációs, mind fedezeti célokra használják, és számos alapvető eszközt felhasználva kereskednek velük, beleértve a részvényeket, indexeket, árucikkeket és valutákat.

Az opciós ügyletek olyan szerződéses megállapodásokra utalnak, amelyek jogot (de nem kötelezettséget!) adnak a tulajdonosnak, hogy vagy megvásároljon, vagy eladjon egy alapvető eszközt (például részvényt, kötvényt, árucikket, határidős ügyletet stb.) egy előre meghatározott áron, amelyet strike price-nak vagy magyarul lehívási árnak nevezünk, egy meghatározott dátumon (vagy azt megelőzően), amit lejárati dátumnak nevezünk.
Két fő opciótípus létezik, nézzük is meg ezeket!
Ezek az opciók jogot adnak (de nem kötelezettséget) a vevőnek, hogy megvásároljon egy eszközt egy előre megbeszélt áron egy jövőbeli dátumon.
Ha az eszköz ára emelkedik, az opció tulajdonosa megvásárolhatja az eszközt a megbeszélt alacsonyabb áron és eladhatja a jelenlegi piaci áron, így profitot realizálva.
Ezek az opciók jogot adnak (de nem kötelezettséget) a tulajdonosnak, hogy eladjon egy eszközt egy előre megbeszélt áron egy jövőbeli dátumon.
Ha az eszköz ára csökken, az opció tulajdonosa megvásárolhatja az eszközt az alacsonyabb piaci áron és eladhatja a magasabb áron, amit az opcióban egyeztettek, így profitot realizálva.
Az opció lejárati dátuma a végső nap, amikor az opciós jogot gyakorolni lehet. Ha ez a dátum elmúlik, az opció értéktelenné válik.
A vételi ár, más néven strike price vagy lehívási ár, jelzi azt az árat, amelyen az alapul szolgáló eszközt meg lehet vásárolni vagy el lehet adni. Ez az ár az opciós ügylet létrehozásakor kerül meghatározásra.
A prémium az opciós ügyletért fizetett költséget jelenti. Meghatározását számos tényező befolyásolja, beleértve az alapul szolgáló eszköz árát, a piaci volatilitást és a lejárati időpontig hátralévő időt.
A minimális tőke, amely a pénzügyi opciókkal történő kereskedéshez szükséges, a bróker függvényében változhat. Sok bróker előírhat egy minimális tőkét, hogy megvédje magát az esetleges veszteségektől. Azonban nincs szabály a minimális tőkére vonatkozóan - tehát ezt a választott brókerednél kell ellenőrizned.
Az opció értéke idővel csökkenhet. Minden opciónak van egy meghatározott lejárati dátuma, és ahogy ez a dátum közeledik, az opció értéke csökken, még akkor is, ha minden más tényező állandó marad.
Ez azért van, mert ahogy a lejárati dátum közeledik, csökken annak az esélye, hogy az alapul szolgáló eszköz ára az opció tulajdonosa számára kedvező irányba mozog. Ennek következtében az opció időértéke, amely az értékének azt a részét jelenti, amely nem kapcsolódik az alapul szolgáló eszköz ára és a lehívási ár közötti különbséghez, csökken.
A kereskedők ezt a hatást time decay-nek nevezik, és a görög théta betűvel jelölik.
Fontos megjegyezni, hogy a time decay nem minden opciót érint egyenlő mértékben. Ezenkívül a time decay általában a lejárati dátum közeledtével gyorsul.
Az opciók erős eszközök lehetnek a kockázatkezelésben és a spekulációban, de jelentős kockázatokkal is járnak. Néhány opciós szerződés típus elméletileg korlátlan veszteségekhez vezethet.
Hogyan történhet ez meg?
Két okból:
Fontos szem előtt tartani, hogy ezek az opciós ügyletekkel kapcsolatos elméleti kockázatok. A gyakorlatban számos stratégia alkalmazható ezek kezelésére, mint például a különböző típusú megbízások és a hedging használata, valamint a covered call és protective put használatának elsajátítása.
Az opciós ügyletekkel történő kereskedésnek több célja is lehet. A spekuláció és a hedging a leggyakoribb célok közé tartoznak.
Az opciók lehetőséget kínálnak az alapul szolgáló eszközárak jövőbeli irányának spekulációjára.
Például, ha egy befektető azt várja, hogy egy részvény ára emelkedni fog, akkor vásárolhat egy call opciót arra a részvényre. Ha a részvény ára meghaladja az opció lehívási árát, a befektetőnek lehetősége van arra, hogy érvényesítse azt, megvásárolja a részvényt a meghatározott lehívási áron, majd eladja azt a jelenlegi piaci áron, így profitot realizálva.
Fontos azonban megjegyezni, hogy legtöbbször az opciós ügyleteket nem azzal a szándékkal kezdeményezeik, hogy érvényesítsék őket. A kereskedők gyakran inkább az opció prémiumának áringadozására összpontosítanak.
Amint az ár az ő javukra mozog, az opció prémiuma felértékelődik, lehetővé téve a kereskedő számára, hogy hasznot húzzon az árkülönbözetből anélkül, hogy gyakorolnia kellene az opciós jogot. Itt jön képbe az opciók eladása, amely lehetővé teszi a kereskedők számára, hogy lényegében „fogadjanak” arra, hogy mi nem fog bekövetkezni a piacon.
A legtöbb esetben ezek a stratégiák az opció prémiumának spekulációjára összpontosítanak, nem pedig az opciós jog tényleges gyakorlására.
Az opciókat egy befektetési portfólió potenciális veszteségei elleni védekezésre is hatékonyan lehet használni, amit hedgingnek nevezünk.
Tegyük fel, hogy egy befektető jelentős mennyiségű részvényt tart egy vállalatban, de aggódik a potenciális értékcsökkenés miatt. Ebben az esetben vételi opciókat vásárolhat ezekre a részvényekre. Ha a részvényár valóban esik, a vételi opció értéke növekszik, részben vagy teljesen ellensúlyozva a részvények értékének csökkenését.
Az opciók stratégiai alkalmazása segít csökkenteni a befektetési portfólióval kapcsolatos kockázatot.
A married put opció stratégia egy klasszikus példa arra, hogyan lehet védekezni árfolyamcsökkenés ellen meglévő részvények esetén.
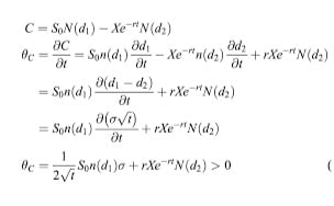
A következő mutatók megmutatják, hogyan változik egy opció ára különböző tényezők hatására:
Az opciós görög betűk részletes magyarázata segít még mélyebben megérteni az árképzési modelleket.
Az ITM, OTM és ATM mozaikszavak az "In the Money", "Out of the Money" és "At the Money" kifejezésekre utalnak, amelyeket a jelenlegi eszközár és az opció lehívási ára közötti kapcsolat leírására használnak.



Az opciók számtalan különböző eszközön alapulhatnak. Íme néhány a leggyakoribb közül:
A részvények és indexek mellett az opciós kereskedés devizákra is kiterjed, amelyek sajátos lehetőségeket és kockázatokat hordoznak.
Az első lépés egyszerű: szükséged lesz egy Interactive Brokers-számlára (ezt a brókert választottuk példánkhoz). Nyugodj meg, nem túl bonyolult, és az egész folyamat nem tart tovább 10 percnél!
Az elinduláshoz egyszerűen kattints az Interactive Brokers honlapjának jobb felső sarkában található „Számlanyitás” gombra!
Amint az Interactive Brokers-számlád beállításra került, itt az ideje, hogy befizess egy számodra szimpatikus összeget. Az Interactive Brokersnél nincs minimális befizetési követelmény, tehát bármilyen összeggel kezdhetsz. Azonban hatékony kereskedéshez ajánlott legalább 1 millió forinttal kezdeni.
Itt az idő megtalálni a számodra szimpatikus opciós ügyletet.
Az SPX, amely az S&P 500 indexet képviseli, egy nagyon gyakran kereskedett eszköz. Azonban, mivel jelentős tőkét igényelhet az induláshoz, választhatjuk az SPY-t, egy ETF-et, amely ugyanazt az indexet követi, így elérhetőbbé téve azt szerényebb költségvetéssel rendelkezők számára is. Bár az SPX több előnyt kínál az opciók kereskedelmében, az SPY ma az amerikai tőzsdén legaktívabban kereskedett eszköz.
A számodra megfelelő lejárati dátum és lehívási ár kiválasztása a használni kívánt stratégiától függ.
Például egy egyszerű, kézenfekvő stratégiai hozzáállás, a call opció vásárlása, ha emelkedő mozgást várunk, vagy a put opció vásárlása, ha csökkenő mozgást várunk.
Érdemes limitáras megbízásokat használni, hogy megakadályozd a hirtelen árrések miatt bekövetkező kedvezőtlen árakat.
Egy hosszabb oldalazó időszak alatt a prémiumár csökken az idő múlásának hatásai miatt. Azonban, amikor az ár végül jelentős mozgást tesz, a prémiumár az egekbe szökik és ahogy közeledik a lehívási árhoz, gyorsabban gyorsul, mint maga az index.
Ha olyan opciót vásárolsz, amely már az elejétől fogva ITM, az idő múlásának hatása kevésbé érezhető.
Ha azonban egy ugyanolyan lejárattal rendelkező opciót vásárolsz, ám az OTM, akkor az opció árának százalékos változása sokkal drámaibb, mind a felfelé irányuló, mind az oldalazó mozgások során.
A prémiumárak különböző tényezőkre adott viselkedésének megértése létfontosságú a jól informált döntéseken alapuló, hatékony opciós kereskedelemhez.
Nézzünk kettőt a legnépszerűbb opciós kereskedési stratégiák közül!
A wheel vagy magyarul kerék stratégia a put és call opciók sorozatos eladásából áll, hogy nyereséget generáljon az opciók prémiumaiból. Ez a megközelítés hosszútávú elkötelezettséget igényel, és az alapul szolgáló részvények birtoklásának ötletén alapul.
A stratégiát egy olyan részvény put opciójának eladásával érdemes kezdeni, amely nem bánnád, ha a portfóliódban lenne.
Aztán, amikor már nálad van a részvény, eladsz egy erre a részvényre vonatkozó covered call opciót, ami lehetőleg OTM. Ez azt jelenti, hogy valakinek eladod a jogot, hogy a részvényedet egy bizonyos áron megvásárolja.
Ha az opciós jogot nem gyakorolják lejárata előtt, megtartod a prémiumot és még mindig birtokában vagy a részvénynek. Ha az opciós jogot érvényesítik (mert a részvény ára meghaladta a gyakorlási árat), eladod a részvényeket a lehívási áron és megtarthatod a prémiumot. Ezután pedig kezdheted újra a folyamatot egy másik put eladásával.
Az Iron Condor egy haladó opciós stratégia, amely lehetővé teszi, hogy profitot realizálj, ha az alapul szolgáló eszköz ára egy adott tartományon belül marad egy bizonyos időszak alatt. Ez egy olyan stratégia, amely az idő múlásából származó előnyöket használja ki.
A stratégia két vertikális credit spread kombinálására épül: egy put spreadre és egy call spreadre. A "put/call spread" egy opciós kereskedési stratégia, amely azonos eszközön alapuló, azonos lejárati dátummal, azonban eltérő lehívási árral rendelkező put/call opciók vásárlását és eladását foglalja magában. Ez a stratégia a potenciális profit és veszteség korlátozására irányul.

Ezeknek a credit spreadeknek a kombinálásával létrehozol egy Iron Condort. A maximális profitod a put és call spreadek eladásáért kapott prémiumok összege. Ez a profit akkor realizálódik, ha az alapul szolgáló eszköz ára a lejáratkor a vételi és eladási opciók lehívási árai között marad.
A maximális veszteséged az általad vett és eladott vételi vagy eladási opciók lehívási árainak különbsége, mínusz a kapott prémiumok. Ez a veszteség akkor realizálódik, ha az alapul szolgáló eszköz ára alacsonyabb a put spreadek lehívási áránál vagy magasabb a call spreadek lehívási áránál.
Az opciós kereskedés, mint minden befektetési forma, kockázatokkal jár. Íme néhány a leggyakoribb kockázat közül:
Ha még csak most kezded, ez az öt alapvető opciós stratégia kiváló kiindulópontot nyújt.
Ha opciós ügyletekről van szó, a manapság rendelkezésre álló eszközök széles köre lehetővé teszi a szinte bármilyen piacra való befektetést csökkentett költségek mellett. Mivel azonban az opciós ügyletek összetett pénzügyi eszközök, a hozzájuk kapcsolódó kockázatok megfelelő felmérése és megértése alapvető fontosságú.
Opciók vásárlásakor létfontosságú felismerni, hogy még ha magas áron is zárnak, a váratlan események a prémiumaikat drasztikusan, akár a nullára is csökkenthetik. A szerencsére való hagyatkozás nem fenntartható megközelítés. Fontos, hogy átgondold, milyen következményekkel járhat, ha befektetéseid teljes veszteséggel zárulnak.
Mindazonáltal az opciós kereskedés az egyik legsokoldalúbb és potenciálisan legjövedelmezőbb lehetőséget kínálja a befektetők számára.
Először is, az opciós ügyletek nagyobb rugalmasságot biztosítanak más pénzügyi eszközökhöz képest, lehetővé téve a befektetők számára, hogy profitáljanak a különböző piaci feltételekből, beleértve a bika, medve vagy semleges trendeket. Ezenkívül az opciós kereskedés lehetővé teszi a pozíciók tőkeáttételét, így a befektetők kisebb befektetéssel nagyobb eszközértéket kezelhetnek. Ráadásul az opciók hatékony kockázatkezelési eszközök is lehetnek.
Az opciók és határidős szerződések közti különbségeket ismerve jobban megértheted, mikor melyiket érdemes használni.
A vételi opció a tulajdonosnak jogot ad, de nem kötelezettséget, hogy a mögöttes eszközt előre meghatározott áron (lehívási áron) vásárolja meg egy adott dátumig (a lejárati dátum). Ezzel szemben az eladási opció a tulajdonosnak jogot ad, de nem kötelezettséget, hogy az alapul szolgáló eszközt a lehívási áron értékesítse a lejárati dátumig.
A hatékony kockázatkezelés létfontosságú az opciós kereskedésben. A kockázatok kezeléséhez a kereskedőknek több alapelvre kell támaszkodniuk. A diverzifikáció például alapvető fontosságú. Az egyetlen pozícióra való túlzott hagyatkozás elkerülése csökkentheti a kedvezőtlen piaci mozgások hatását.