Bitcoin

A Microstrategy kétségtelenül az egyik legdivatosabb vállalat az általa birtokolt bitcoinok miatt, és tőzsdei árfolyama úgy emelkedik, mint a rakéta, amikor felfelé visz a lendület, de erőteljesen csökken, amikor visszaesés következik be.

Vajon a MicroStrategy a legjobb mód arra, hogy Bitcoinba fektessünk? Érdemes-e inkább Saylor cégének részvényeiből venni ahelyett, hogy közvetlenül a kriptovaluták királynőjére szereznénk kitettséget? Minderről olvashatsz az alábbiakban.
A MicroStrategy (MSTR) egy amerikai vállalat, amit 1989-ben alapított Michael J. Saylor és Sanju Bansal Tysons az Egyesült Államok Virginia államában, azon belül Cornerben, mégpedig azzal a céllal, hogy adatelemző szoftvereket fejlesszen.

Fő terméke egy elemzési platform, ami abban segíti a szervezeteket, hogy megalapozott döntéseket hozzanak nagy mennyiségű adat vizualizálása és elemzése révén.
Az elmúlt években a MicroStrategy ismertségre tett szert jelentős Bitcoin-befektetése miatt. A vállalat 2020-ban kezdett el kriptovalutát vásárolni vezérigazgatója, Michael Saylor vezérletével, aki úgy véli, hogy a Bitcoin értékőrző funkció szempontjából felülmúlja a készpénzt.
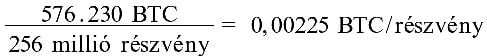
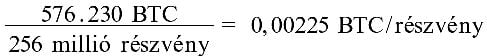
2025-re a MicroStrategy már 576.230 bitcoint tartalékol, így az egyik legnagyobb intézményi kriptovaluta-birtokossá vált. Ennek eredményeképpen a vállalat árfolyama nagyon hasonlóan alakul a Bitcoin árfolyamának viselkedéséhez.

MicroStrategy részvények vásárlása a Freedom24-en
Most, hogy a Bitcoin ismét közel jár történelmi csúcsához, Saylor bejelentette az újabb Bitcoin-vásárlást - sőt annak a véleményének is hangot adott, hogy aki nem vesz Bitcoint (akár történelmi csúcsokon), az pénzt veszít.

Vizsgáljuk hát meg mi is, hogy melyik a jobb: MicroStrategy részvényeket vásárolni vagy Bitcoinba fektetni annak tényleges megvásárlásával.
A MicroStrategy (MSTR) az egyik legjelentősebb béta proxi lett a Bitcoin piacán... ugyanakkor továbbra is egy tőzsdén jegyzett szoftvercég stabil árréssel és olyan vállalatirányítással, ami a részvényeseknek többet nyújt, mint pusztán a kriptovalutának való kitettséget.
2025 májusában minden MSTR részvény körülbelül 0,00225 BTC* értéket biztosít, ami átszámítva 240 $ értéket eredményez, míg a tőzsdei árfolyam 399 $ körül van - vagyis nagyjából 68%-os prémium adódik, ami az operatív tőkeáttételt tükrözi, mivel Bitcoin tartalékai vannak a cégnek fiat valuta helyett.

Ezért sok befektető számára ez a "szoftver + Bitcoin" keverék azt jelenti, hogy az MSTR egyfajta „tőkeáttételes ETF” a BTC-re, amit bármely hivatalosan működő brókernél meg lehet vásárolni, befektetési alapokba fel lehet venni és opciókban lehet vele kereskedni.
Amikor Bitcoint vásárolsz, közvetlen kitettséget szerzel a világ leglikvidebb és legszűkösebb kínálatú digitális eszközére - nem pedig egy szoftvercég „szűrőjén” keresztül, amelynek a BTC felhalmozása mellett működési költségei és menedzsment kockázata van, ráadásul új részvényeket is bocsát ki.
Ha pedig ez sem lenne elég, a legszigorúbb monetáris politikának van alávetve, és szigorúan 21 millió egységben meghatározott teljes kínálattal rendelkezik.
Ráadásul a Bitcoin vonzereje az intézményi nyomás miatt is nő: az Bitcoin spot ETF-ek, amelyeket az Egyesült Államokban indítottak 2024 januárjában, már több mint 52 milliárd $-t kezelnek, és továbbra is vonzzák a pénzt; csupán május 19-én nettó 667 millió $ érkezett az iShares Bitcoin Trust vezetésével
Mivel mindkét lehetőség elég jól hozzáférhető, az alábbiakban különböző lehetőségeket mutatunk akár a MicroStrategy részvényeinek megvásárlására, akár a Bitcoinba való befektetésre - végül pedig egy eszmefuttatást arról, hogy melyik a jobb (véleményünk szerint, ami persze mindössze egy vélemény).
A tőzsdén megvenni egy olyan vállalat részvényeit, mint a MicroStrategy, nagyon egyszerű és néhány lépésben megvalósítható.
MicroStrategy részvények vásárlása 3 lépésben
Most pedig részletesen áttekintjük e lépéseket a Freedom24 példáján keresztül.
Az első lépés értelemszerűen az, hogy nyitsz egy számlát a Freedom24-nél (vagy az általad választott brókernél) és elhelyezed rajta legalább a minimális betétet.

Ezt követően itt az ideje nekilátni a befektetésnek. Ehhez csak annyit kell tenned, hogy a bróker keresőjébe (zöld téglalap) beírod a cég nevét: “MicroStrategy” - de beírhatod a tickert (MSTR) vagy az ISIN-t (US5949724083) is.
Miután megtaláltad, egyszerűen válaszd ki (kék téglalap) és megkapod a cég adatlapját, ahol elemzést végezhetsz és beállíthatod a vételi megbízást.
Számla nyitása a Freedom24-nél
A következő lépés a cég rövid elemzése. Mint alább látni fogjuk, nem szokványos vállalatról van szó, ahol a fundamentális adatok határozzák meg az árfolyamot. A Bitcoinhoz való kötődése miatt sokkal spekulatívabb jellegű, ezért jóval kritikusabb szemmel kell tanulmányozni a céggel kapcsolatos híreket, valamint ajánlott egy kis technikai elemzést végezni.
A különféle hírek akár egy hét alatt 10%-os emelkedést vagy csökkenést idézhetnek elő. Hozzá kell tennünk, hogy a Freedom24 brókernél tájékozódhatsz a cég aktuális helyzetéről.
Tehát miután betöltötted az adatlapot, lépj az “áttekintés” részhez, onnan pedig a “hírek” fülre, ahol láthatod külön-külön azokat a híreket, amelyek negatívan, semlegesen vagy pozitívan érintik a részvényt.

Ezenkívül technikai szinten is értékelhetjük a vállalatot a részvények vásárlása előtt. Tekintettel a Bitcoinnal való korrelációjára, ha a BTC emelkedő szakaszban van és a MicroStrategy egy emelkedő csatorna alsó részén található, akkor ésszerűnek tűnhet egy kisebb vételi megbízást feladni, szigorúan 400 USD alatti stop loss-szal.
Ugyanakkor a jelek szerint a részvény árfolyama leginkább a 232 USD részvényenkénti támasznál konszolidálódott, amit 2025 áprilisa körül jelölt ki (beleértve egy dupla aljat is). Ekkortájt szabadult el a volatilitás a Trump-féle vámháború miatt. Ezen a szinten várhatnánk a következő visszakorrigálást.

A fentiek alapján határozzuk meg a MicroStrategy részvényvételi megbízást 232 USD/részvény szinten.
Miután visszatérünk a Freedom24 részvényadatlapjára, rákattintunk a „befektetés” gombra, és nekilátunk beállítani a vételi megbízást.

Ennek során megadjuk a következő információkat:
Miután minden beállítással végeztünk, egyszerűen rákattintunk a zöld „vétel” gombra.
Ennyi az egész: hamarosan MicroStrategy részvényesek leszünk, azután pedig már csak várnunk kell az árfolyam emelkedésére.
👉 Ha már a MicroStrategy részvények vásárlását e Nasdaq-on jegyzett bróker példáján keresztül vizsgáltuk meg, olvasd el a róla szóló értékelésünket is: Freedom24 vélemény - Biztonság, jutalék, platform és termékek
Láttuk a példát a Freedom24-gyel - íme még néhány online bróker, ahol szintén könnyen megvásárolhatod a vállalat részvényeit.
| eToro | Trade Republic | Degiro | |||||
| 🏆 Biztonság | CySEC (Ciprus) - akár 20.000 €-ig | BaFiN (Németország) - akár 100.000 €-ig | BaFiN (Németország) - akár 20.000 € 90%-áig. | ||||
| 💲 Jutalék | 1 USD/tranzakció | 1 EUR | 2 EUR amerikai részvények esetén | ||||
| 📈 Platform | Saját platform + app | Saját platform + app | Saját platform + app | ||||
| 🚦 Kezelhetőség | Kezdő befektetőknek, akik többre vágynak | Nagyon egyszerű, csak kezdőknek alkalmas | Középszintű |
| eToro | Trade Republic | Degiro | |
| 🏆 Biztonság | CySEC (Ciprus) - akár 20.000 €-ig | BaFiN (Németország) - akár 100.000 €-ig | BaFiN (Németország) - akár 20.000 € 90%-áig. |
| 💲 Jutalék | 1 USD/tranzakció | 1 EUR | 2 EUR amerikai részvények esetén |
| 📈 Platform | Saját platform + app | Saját platform + app | Saját platform + app |
| 🚦 Kezelhetőség | Kezdő befektetőknek, akik többre vágynak | Nagyon egyszerű, csak kezdőknek alkalmas | Középszintű |
MicroStrategy részvényből a minimálisan vásárolható mennyiség 1 darab. Ugyanakkor léteznek olyan brókerek, amelyek lehetővé teszik a töredékes befektetést, így lehetőség van egy részvény egy részének megvásárlására, vagyis nem kell egy teljes részvényt megvenni.
A MicroStrategy esetében ez azért hasznos, mivel a részvény árfolyama 400 dollár felett jár.
A vállalat soha nem fizetett osztalékot és egyelőre nem is tervezi. Ennek oka, hogy növekedési vállalat, vagyis olyan cég, ami prioritásként kezeli jelentős növekedési potenciál és árrés elérését rövid idő alatt.
Az ilyen cégek általában startupok és technológiai szektorhoz kötődő vállalatok - ahogy ebben az esetben is.
Íme három megbízható kriptovaluta tőzsde, amit figyelmedbe ajánlunk.
| Bit2Me | Criptan | Bitvavo | |||||
| 🏆 Biztonság | Spanyol Nemzeti Bank | Regisztrálva a Spanyol Nemzeti Banknál | Regisztrálva a Holland Nemzeti Banknál | ||||
| 💲 Jutalék | 0,6%* | 0,75%* | 0,25%* | ||||
| 📈 Platform | Saját platform + Pro + app | Saját platform + app | Saját platform + Pro + app | ||||
| 🚦 Kezelhetőség | Egyszerű. Ideális kezdőknek, de haladóbb szinten is. | Egyszerű. Ideális befektetőknek, akik kriptovaluta megtakarítási termékeket keresnek. | Nagyon egyszerű. Ideális kezdőknek. |
| Bit2Me | Criptan | Bitvavo | |
| 🏆 Biztonság | Spanyol Nemzeti Bank | Regisztrálva a Spanyol Nemzeti Banknál | Regisztrálva a Holland Nemzeti Banknál |
| 💲 Jutalék | 0,6%* | 0,75%* | 0,25%* |
| 📈 Platform | Saját platform + Pro + app | Saját platform + app | Saját platform + Pro + app |
| 🚦 Kezelhetőség | Egyszerű. Ideális kezdőknek, de haladóbb szinten is. | Egyszerű. Ideális befektetőknek, akik kriptovaluta megtakarítási termékeket keresnek. | Nagyon egyszerű. Ideális kezdőknek. |
Először is: a vállalat viszonylag stabil (közel 500 millió dolláros) bevételt produkált, bár csökkenő tendenciát mutat. Például 2024-ben a bevételek 6,61%-kal csökkentek a szoftverértékesítés visszaesése miatt, noha a felhőalapú előfizetési szolgáltatások bevétele 62%-kal nőtt.

A probléma az, hogy a vállalat nem tudott működési nyereséget (EBIT) felmutatni az elmúlt években - a tőzsdei árfolyamemelkedés ellenére. Sőt a veszteségek napról napra nagyobbak, és becslések szerint 2025 körül érik el a maximumot, közel 5 milliárd dolláros szinten.
A szabad cash flow (FCF) tekintetében szintén azt látjuk, hogy rendre negatív, bár csupán minimálisan.
Jelenleg a céget az húzza ki a csávából a nyereségvárakozásoktól való elmaradása ellenére, hogy erős a pozíciója kriptovaluták terén: az összes létező bitcoin 2,6%-át birtokolja.
A fentiek a jelek szerint mégsem vetnek rossz fényt a vállalatra, mert bár rossz pénzügyi helyzetben van, a Yahoo Finance elemzőinek véleménye általában pozitív (talán a Bitcoinban tartott tartalék divatja miatt) - így vételt, sőt agresszív vételt javasolnak; különösen mostanság, amikor a Bitcoin ismét 100.000 USD fölött jár.

Ha az eredmények nem pozitívak, miért emelkedik a részvény árfolyama? Mint említettük, azért, mert ez a cég a világ legnagyobb bitcoin birtokosa. Márpedig e digitális eszköz kilátásai továbbra is jók és emelkedő tendenciát mutatnak.
Igen és nem. A tényleges válasz a befektető kockázati profiljától függ.
Az alábbiakban még egy rövid véleményt is kifejtenénk - de ne feledd, ez nem ajánlás semmire.
Ha valóban meggyőzött a MicroStrategy-ben rejlő üzleti lehetőség (az üzleti intelligencia szoftvere, készpénzáramlás-generálási képessége stb.), akkor hajrá: vegyél részvényt, ahogy bármely más cég esetében tennéd, miután kidolgoztad a befektetési koncepciódat. Add le a megbízást és egyszerűen várd ki, amíg az árfolyam eléri az általad meghatározott szintet.
A fenti esetben ugyebár a vállalati potenciál jelenti számodra az elsődleges motivációt, a Bitcoin turbó béta (amit a BTC-vel teli kincstáruk jelent) pedig a hab a tortán. Ez így tökéletes.
Amennyiben viszont az az egyetlen, ami felkeltette az érdeklődésedet Saylor cége iránt, hogy „sok a Bitcoin-ja”, akkor igazából csak feleslegesen bonyolítod az életed.
Kifizetnéd egy részvény prémiumát (működési költségek, hígítási kockázat, vállalati döntések), hogy közvetett módon kitettséget szerezz valamire, amit öt perc alatt megvásárolhatsz és magad is őrizhetsz (erre a célra ugye meg is adtunk három megbízható tőzsdét).
Itt ugyanaz a dilemma, mint egy Bitcoin spot ETF vásárlása és a valódi eszköz birtoklása közt: a származékos termék bizonyos szabályozási kényelmet nyújt, de feláldozod a szuverenitást, és jutalékokat is fizetsz. Ha valóban hiszel a Bitcoinban, logikusabb közvetlenül birtokolni, köztes rétegek és külső tőkeáttételek nélkül.
Összességében ha portfóliód esetében a MicroStrategy részvények vásárlása vagy a közvetlen Bitcoin-vásárlás között vacillálsz, tartsd szem előtt, hogy a vállalat és a kriptó két különböző sztori; csak akkor keverd a kettőt, ha mindkettőben bízol. Ha nem, akkor a lényegre koncentrálj és vedd meg azt az eszközt, amelyiket meggyőzőbbnek találod.