Mutatók

Amikor tőzsdei kereskedésről és technikai elemzésről beszélünk, az egyik leggyakrabban használt mutató a szakemberek körében a VWAP (kiejtve: vivap) - ugyanis fontos információt nyújt a piaci likviditásról.
Mi is az a VWAP mutató? Hogyan használják? És legfőképpen: milyen stratégiákkal lehet kombinálni? E cikkben mindent megtudhatsz a pénzügyi guruk egyik kedvenc indikátoráról.
A pénzügyekben a forgalommal súlyozott átlagár (volume-weighted average price = VWAP) a kereskedett pénzügyi eszköz értékének és a teljes tranzakciós volumennek az aránya adott kereskedési időszak alatt. Ez az adott időszak átlagos kereskedési árának értéke.
E mutatót általában egy napra számítják ki, de kiszámítható két tetszőleges időpont között is.
A VWAP gyakran használt kereskedési referencia az olyan befektetők számára, akik a lehető legpasszívabbak kívánnak lenni a kereskedés során. E kategóriába tartozik számos nyugdíjalap és néhány befektetési alap. A VWAP mutatót arra alkalmazzák a kereskedésben, hogy a megbízást végrehajtó kereskedő a piaci volumennel összhangban tegye azt.
Egyesek szerint az ily módon történő végrehajtás csökkenti a tranzakciós költségeket azáltal, hogy minimalizálja a piacra gyakorolt hatás költségeit (a piaci hatás miatti többletköltség a kereskedő tevékenységének kedvezőtlen hatása az értékpapír árára).
A VWAP egy gyakran alkalmazott eszköz az algoritmikus kereskedésben, mivel segít a megbízások végrehajtásában a lehető legjobb áron a piacon, figyelembe véve az adott időszakban végrehajtott tranzakciók volumenét.
A garantált VWAP végrehajtás esetében a bróker biztosítja, hogy a megbízásokat a VWAP-nak megfelelően hajtja végre. Ehhez számítógépes programot használ, amely automatikusan adja ki a megbízásokat a piacra, a cél pedig a kereskedői jutalék megszerzése és a profit/loss (P&L) realizálása.
Ezzel szemben a célzott VWAP végrehajtás esetén a bróker a lehető legjobb áron kereskedik, de a realizált ár a VWAP-hoz képest nagyobb szórást eredményezhet. Ez azt jelenti, hogy az ügyfél árfolyama nagyobb mértékben eltérhet a VWAP-tól, viszont az ügyfél kisebb jutalékot fizethet a brókernek.
A VWAP-alapú algoritmusok azok a kereskedési programok, amelyek célzott árként a VWAP-ot használják. Ezek a volumenrészvételi algoritmusok egyik típusába tartoznak, és céljuk a piacon történő hatékony részvétel, miközben igyekeznek a lehető legjobb árat elérni a tranzakciók során.
Mindezt elég bonyolult megemészteni, ezért az alábbiakban megpróbáljuk érthetőbben is elmagyarázni.
Röviden tehát a VWAP egy olyan eszköz, amit a professzionális tőzsdei kereskedők alkalmaznak a hatékonyabb döntéshozatalhoz.
Alapvetően három dolgot tehetünk, amikor kereskedünk: eladunk, vásárolunk vagy kivárunk.
A VWAP hasznos abban a tekintetben, hogy az árat és a volument kombinálva hozzuk meg a legelőnyösebb döntést. - magyarán azt, hogy eladni, vásárolni vagy várni érdemes.
Mindenki számára logikus, hogy a legmegfelelőbb stratégia, ha olcsón veszünk és drágán adunk el. A nehézség abban rejlik, miként tudhatjuk biztosan, hogy mikor drága vagy olcsó valami. A VWAP egyik fő alkalmazási célja pontosan az, hogy megad bizonyos információkat, amelyek birtokában kellő bizonyossággal hozhatunk sikeres döntést.
Most nézzük meg, hogyan segíthet a VWAP hatékonyan konkretizálni a tényleges kockázatot. A VWAP valós információ, ami az adott piacról származik az adott időszak alatt. Érthető, hogy ez az adott pillanatig történt tranzakciók körülbelül 70%-án (68,27%) alapul.
Amikor megtaláljuk azt az árat, amelyen a legtöbb tranzakció történt, akkor eldönthetjük, hogy a piac túlvett vagy túladott-e a jelenlegi árhoz és az átlaghoz képest.
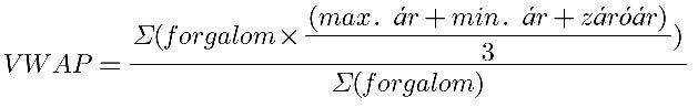
A VWAP úgy számítódik ki (automatikusan), hogy az adott időszakon belül az ár maximumának, minimumának és záró értékének átlagát veszi, majd ezt az átlagos árat az adott időszakban kereskedett teljes volumennel súlyozza. Ahogy a nap halad előre, folyamatosan frissíteni kell a képletet minden időszakra, hogy megkapjuk a nap folyamán kirajzolódó VWAP vonalat.

Mivel a VWAP igen népszerű eszköz a tőzsdén kereskedők körében, gyakran produkálhat önbeteljesítő jóslatot. Ha egy részvény emelkedik, de még mindig a VWAP alatt van, a kereskedők előreláthatják az árfolyamalakulást a VWAP alapján és long pozíciót vehetnek fel a VWAP mentén. Mivel megpróbálják egymást megelőzni, a részvény árfolyama természetesen a VWAP felé emelkedhet.
Másrészt a "medvék", akik a VWAP alapján elutasításra számítanak, limitált megbízásokat adhatnak fel a részvény shortolására a VWAP-nál - bízva abban, hogy lesznek nyereségrealizálók és további eladók.
A VWAP akkor a leghasznosabb, ha más indikátorokkal vagy egy kereskedési módszertannal kombinálják.
Ne feledjük: manapság a pénzügyi piacokon olyan gyorsak a változások, hogy a mozgásokat különféle szemszögekből kell elemezni.
A VWAP egyik legegyszerűbb felhasználási módja a támasz és/vagy ellenállás kalibrálása. Ez egy egyszerű vonal (VWAP), amely támaszként működik, ha a részvényárfolyam felette van, és ellenállásként, ha alatta. A VWAP vonal iránya jelzi a trendet, ezért "de facto" trendvonalnak használják.
Ami az egyik kereskedőnek támasz, a másiknak ellenállás. Más szóval egy long pozícióval rendelkező kereskedő a VWAP-ot kiszállási célként használhatja, ha az árfolyam alatta jár. Az a kereskedő, aki long pozíciót szeretne felvenni, megvárhatja, hogy a részvény áttörje a VWAP-ot a long pozíciókhoz, vagy visszahúzódjon és visszapattanjon a VWAP-ról a visszahúzódás során. A VWAP jó be- és kiszállási zóna. Ha vannak felső és alsó burkológörbék is, ezek használhatók az ismételt beszálláshoz a VWAP felé.
Az a részvény, ami a napon belüli VWAP felett forog, lehet bullish, míg az a részvény, amelynek árfolyama alatta van, lehet bearish. Egy gyors pillantás a grafikonra és máris kapunk egy relatív erő vagy gyengeség mutatót. A referenciaindexek és a hasonló értékek VWAP-olvasatait kombinálva összehasonlíthatjuk és kalibrálhatjuk, hogy az érték relatív erőt vagy gyengeséget mutat-e. Ez lehetővé teszi a kereskedési tevékenység alaposabb átgondolását is.
Például ha egy emelkedő trendben lévő részvényt shortolunk (vagyis amivel a VWAP felett kereskednek), akkor "short squeeze"-nek lehetünk kitéve, mivel a trend ellenében kereskedünk. Ezzel szemben ha csökkenő trendben lévő részvényt shortolunk (vagyis amivel a VWAP alatt kereskednek), akkor a relatív gyengeséggel a trenddel összhangban kereskedhetünk.
Amikor az alapul szolgáló részvény ára alulról keresztezi a VWAP-ot, az áttörést jelenthet. Jeladás lehet arra, hogy long pozíciót vegyünk fel a részvényben. Ha a részvény a VWAP alá esik, az rövid távú eladási jelzés lehet, mivel áttörés történt. A VWAP szintén jó megállási zóna, ha a támaszt áttörik. Lehet például az a terved, hogy beszállsz az XYZ-be egy 27,10 eurós áttörésnél, ami a VWAP, és elhelyezel egy 0,20 eurós követő stopot a VWAP alatt. Ez lehetővé teszi, hogy számszerűsíthető "cselekvési tervet" dolgozz ki a kereskedéshez. Ne feledd, hogy a VWAP akkor működik a legjobban, ha kiegészítő indikátorokkal kombinálják, elsősorban momentum indikátorokkal.
Az intézmények és alapkezelők a VWAP-ot használhatják megbízásaik minőségének mérésére. Ha a megbízások folyamatosan a VWAP felett teljesülnek, előfordulhat, hogy a kezelő más piaci szereplőt vagy kereskedőt keres a megbízások végrehajtására.
Előfordulhat, hogy az intézmény be akar szállni egy pozícióba, de a belépési ár hatással lehet a piacra. A VWAP-ot a likviditás és az intézményi megbízások piaci hatásának mérésére is használják.
Ha a kereskedő meggondolatlanul hajtja végre a megbízásokat, a részvényárfolyam emelkedni fog, ami a végrehajtások hajszáját váltja ki, majd egy esetleges hirtelen esést, miután a megbízások teljesültek.
Számos módja van a VWAP-pal való kereskedésnek. Nem lehet elégszer hangsúlyozni, hogy akkor működik legjobban, ha más kiegészítő indikátorokkal kombinálják, mint amilyenek például a momentum indikátorok (MACD vagy a sztochasztikus).
A VWAP (Volume Weighted Average Price) haladó szintű technikai indikátor, ami ingyenesen elérhető a Metatrader 4 vagy MT5 kereskedési platformokban. Közvetlenül a grafikonra van berajzolva, hogy a matematikailag bonyolult számítás könnyen áttekinthető vizuális ábrázolását nyújtsa.
A forex kereskedési stratégiák is elkezdték beépíteni az MQL4 VWAP indikátort az elemzéseikbe. Szögezzük le, hogy hatékonyabb a napon belüli forex kereskedésben; a hosszú távú stratégiák kevésbé profitálnak mindabból, amit a VWAP indikátor jelez.
Például elemezni szeretnénk az EUR/USD devizapár árfolyamát az elmúlt órákban, hogy eldöntsük, végrehajtsunk-e egy tranzakciót vagy sem.
Ehhez megnyitunk egy egyszerű mozgóátlag indikátort az órás grafikonon és beállítjuk, hogy számítsa ki az utolsó öt órai záróár egyszerű átlagát.
Tegyük fel, hogy a záróárak a következők voltak: 1,1000, 1,1010, 1,1020, 1,1030 és 1,1040. Az indikátor átlagos árnak 1.1020-at hozna ki (az öt érték összegét elosztva öttel).
Most hasonlítsuk ezt össze a VWAP-pal, amelyet ugyanarra az eszközre és beállításra alkalmazunk. A VWAP megnézi a volumenadatokat, amelyekből kiderül, mennyi EUR/USD-t vásároltak az öt ár mindegyikénél, és nagyobb súlyt rendel azokhoz az árakhoz, amelyeknél nagyobb volumenben kereskedtek.
Például ha abban az időszakban szinte a teljes forgalom 1,1000-en történt, akkor a VWAP olyan átlagos árat fog mutatni, ami nagyon közel van az 1,1000-hez - vagyis sokkal alacsonyabbat, mint az egyszerű mozgóátlag által mutatott ár, ami csak az árat és időt veszi figyelembe, ezért minden ár egyenlő súlyt kap az átlag kiszámításában.
A VWAP pontosabb indikátor, mivel a valós árat tükrözi. A technikai elemzésben a volumen továbbra is olyan változó, ami nagyon fontos lehet a trendek, a trendváltozások, a támaszok, az ellenállások, a kitörések és a letörések megerősítésére. Mivel a VWAP a képletében felhasználja a volument, megbízhatóbb és hasznosabb lesz a mozgóátlag indikátoroknál.
A VWAP indikátor inkább a részvénykereskedők körében népszerű, mert a részvények volumenadatai minden tranzakcióra elérhetőek, sok online forrás pedig ingyenesen biztosítja a napi volumenadatokat.
A devizapiacon a volumen bonyolultabb kérdés és a devizakereskedelem decentralizált jellegéből fakadóan általában nem áll olyan könnyen rendelkezésre.
Ez megnehezítheti a VWAP alkalmazását a devizapiacon, bár egyes forex kereskedők úgy vélik, találtak módot ennek kivédésére azzal, hogy a valós volumenadatok helyett a tick volumenét használják a volumenre vonatkozó bemenő adatként.
Bár egyes elemzők bírálják ezt az eljárást, bizonyos tanulmányok pozitív korrelációt mutatnak a valós volumen és a tick volumen között a devizapiacon. Mind több forex bróker teszi elérhetővé ügyfelei számára saját valós volumenadatait, így esetenként az indikátor köthető ezekhez, bár van, aki továbbra is inkább a tick volument használja.
A VWAP áttörése általában nagy volument generál.
Az algoritmikus kereskedés fellendülése és a rövid távú stratégiák népszerűsége miatt a VWAP mutató az egyik legnépszerűbb technikai indikátorrá vált a kisebb tőzsdei kereskedők körében. Nem igazán alkalmas közép- és hosszú távú kereskedési stratégiákhoz, de két módon hasznosítható hosszabb időtávon is:
A VWAP jó belépési és kilépési szinteket sugallhat a támasz- és ellenállási szintek megerősítése révén. Amikor a VWAP szokatlanul magas volument mutat, előfordulhat, hogy jó támasz- vagy ellenállási szintté válik. Ajánlott más technikai elemzőeszközök használata a közép- vagy hosszú távú trend azonosításához.
A VWAP mozgóátlaga (más néven MVWAP) egy mozgóátlag mozgóátlagát adja, így a közép- és hosszú távon kereskedők számára "jobb rálátást" adhat a valós értékre, mint az egyszerű VWAP.
Mindenekelőtt az VWAP indikátor beállításainak módosítását ajánlom. Az alapértelmezett beállítás a napi, heti és havi VWAP-ot mutatja. Mivel rövid távon fogjuk használni a VWAP-ot, ezek az időtávok nem megfelelőek. Az alábbiakban az MT5 platformot használjuk példaként, mivel a VWAP népszerűbb az MT5 felhasználók körében, mint az MT4 felhasználók közt.
Mindazonáltal mielőtt ilyen rövid távon kezdenél befektetni, ajánlom, hogy olvasd el cikkünket a volumen alapú kereskedésről.
Mivel a VWAP úgy működik, mint a mozgóátlagok, hatékony a kereszteződések megtalálásához és a trenddel való kereskedéshez. Pontosabb kereskedési jelek is kinyerhetőek, ha a napi VWAP-pal együtt használják mint több időkeretes elemzést.
Ajánlott long belépési jeleket keresni, amikor a VWAP X (első érték) felül keresztezi a VWAP Y-t (második referenciaérték), ha a részvényárfolyam a támaszszinteken pattog. Ilyenkor én megvárom, amíg a gyertya mindkettő fölött zár és visszahúzódáskor (pullback) szállok be - vagy a napi VWAP fölötti kitöréskor, miután a VWAP X keresztezi a VWAP Y-t.
Igen, de csak józan keretek közt. Ez egy relatív indikátor, és miként fentebb is többször említettük, más indikátorokkal kell kombinálni, hogy kellőképpen tájékozottak legyünk a döntés meghozatalakor.
Megfigyelhető, hogy a Goldman Sachs vagy a JPMorgan 10K jelentéseiben (amelyeket bárki megtekinthet) a VWAP gyakran felbukkan.
A szakmai - és nem szakmai - kereskedők körében elterjedt nézet, hogy elegendő számú intézményi kereskedő használja a VWAP-ot referenciaként. A kereskedők általában úgy vélik, hogy ennek a dinamikának az elismerését be kell építeni a kereskedési stratégiába.
De mivel ez egyetlen nap összefoglaló változata, a VWAP-nak nincs tényleges hatása a jövőbeli előrejelzések vagy számítások során, kivéve a „feltételezéseket”.
A Rankia ajánlása az, hogy más indikátorokkal együtt használjuk. Mert ugye a biztonság mindenekelőtt.
A 7 mutató, amit a Rankia a napon belüli kereskedéshez javasol:
Most pedig halljuk a te véleményedet. Szoktad használni a VWAP mutatót? Milyen stratégiát alkalmazol hozzá? Milyen másik mutatóval kombinálod? Írd meg hozzászólásban.
A befektetés veszteség kockázatával jár.
A kiskereskedelmi befektetők 71%-a veszít pénzt CFD-kkel való kereskedés során.
A CFD kereskedéssel kapcsolatban az ügyfelek 71%-a pénzt veszít ezzel a szolgáltatóval.