Stratégiák

Ebben a cikkben mélyebben megismerheted az implicit volatilitás fogalmát. Az opciós ár összes összetevője közül (amelyek az idő, az alaptermék mozgása, kamatlábak és volatilitás) ez utóbbi a legkevésbé intuitív. A kifejezés a bizonytalansághoz kapcsolható, és nagy mértékben befolyásolja az opciók árát.

Ha egy opciós szerződést, mint egy biztosítást veszünk, akkor a szerződés ára (prémium) attól függ, hogy mennyire valószínű az esemény, amit fedezni kell. Minél bizonytalanabb a helyzet, annál magasabb lesz a szerződés ára.
Az implicit volatilitás (IV) a piac elvárásának mértéke az alaptermék jövőbeli volatilitásáról, amely az opciók árából származik. Ellentétben a múltbeli volatilitással, amely visszatekint az időben, az IV a várható árvariabilitást vetíti előre a jövőbe. Ez egy kulcsfontosságú összetevő az opciók árazásában, tükrözve, hogy mennyire várható az alaptermék árának ingadozása az opció időtartama alatt.
Ez egy Netflix (NFLX) grafikon, ahol jól látható a különbség az implicit volatilitás (IV) és a múltbeli (HV) között. Figyeld meg, hogy amikor az implicit volatilitás, vagyis az alaptermék (Netflix részvények) árának várható változékonysága megugrott, néhány nap múlva a történelmi volatilitás is emelkedett.

👉 További információkért: Kereskedés opciókkal | Alapvető útmutató kezdőknek
A IV-t nem közvetlenül számítják ki; ehelyett a piaci opciós árból következtetik ki értékelési modellek, mint például a Black-Scholes vagy a binomiális modell segítségével. A számítási folyamat magában foglalja:

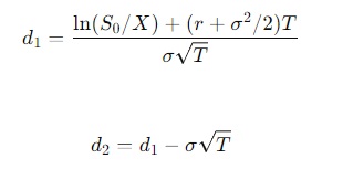
2. Európai opciók árazási egyenletei:
1. Egy európai call opció esetén:

2. Egy európai put opció esetén:

Ahol:

3. Opció ára: Az opció aktuális piaci árának figyelembevétele.
4. IV megoldása: A volatilitás beállítása a modellben, amíg az opció számított ára meg nem egyezik a piaci árral. Ezt a folyamatot általában iteratív algoritmusokkal vagy numerikus módszerekkel, például a Newton-Raphson módszerrel hajtják végre.
Számos tényező befolyásolhatja az implicit volatilitást:
Számos modell és megközelítés létezik az implicit volatilitás kiszámítására és a volatilitás dinamikájának modellezésére a pénzügyi piacokon. Az alábbiakban két ilyen modellt mutatunk be, amelyek általában a legfontosabbak és leggyakrabban használtak.
A VIX index, amelyet "félelem indexként" is ismernek, a 30 napos piaci volatilitás várakozását méri az S&P 500 esetében, az opciók árából származtatva. A befektetők a VIX segítségével kereskedhetnek a volatilitással a következő módokon:

Tegyük fel, hogy egy vállalat, az XYZ Vállalat közelgő nyereség eseménnyel rendelkezik. A befektetők arra számítanak, hogy a volatilitás növekedni fog az eredményekkel kapcsolatos bizonytalanság miatt. Vegyünk egy ilyen volatilitásnövekedési mintát az eredmények közzététele előtt:

Vásárolhatnánk egy straddle-t abban az időpontban, amelyet a fekete nyilak jeleznek, hogy kihasználjuk az árnövekedést a várt volatilitás miatt az eredmények közzétételéig (zöld kör).
Ahogy az előző grafikonon látható, a volatilitás már jelentősen megnőtt, és az ideális időpont a stratégia megkezdésére június első napjai lettek volna.
Az alábbiakban láthatjuk, hogy hogyan hajtanánk végre ezt a stratégiát az Interactive Brokers opciós láncában.
Ehhez ki kell választanunk a lejárati dátumot. Ebben az esetben augusztus 16-át választottuk:

Megnyitjuk a stratégia készítőt és vásárolunk (BID oszlop) egy ATM PUT-ot és egy CALL-t, ebben a pillanatban a Netflix árfolyama 685,75. A stratégia költsége a 2 prémium összege: 7.425$, ami megegyezik a maximális lehetséges veszteséggel.
Az alábbiakban látjuk a kockázati grafikont, amelyet ugyanaz a platform biztosít számunkra:

Ahogy a grafikonon látjuk, egy meredek mozgás érdekel minket bármelyik 2 irányba. Azonban a stratégiánk azon alapul, hogy az ár növekedjen a volatilitás miatt.
👉 A brókerrel kapcsolatos további információkért olvasd el az értékelésünket: Interactive Brokers vélemény 2024: biztonság, piacok és díjak
👉 Érdemes tudnod, hogy tucatnyi pénzügyi opciós stratégia létezik. Az alábbi cikkben ötöt mutatunk be közülük: Öt stratégia az opciós kereskedés megkezdéséhez
Előnyök
Hátrányok
Összefoglalva tehát, az implicit volatilitás kulcsfontosságú fogalom az opciók értékelésében és kereskedésében. A kiszámítjás megértése, és tudni azt, hogy mi befolyásolja, és hogyan lehet vele kereskedni, jelentős előnyöket nyújthat a derivatív piacokon. Valószínűleg ez a legösszetettebb módja az opciókkal való kereskedésnek, ezért az ilyen típusú kereskedés előzetes képzése elengedhetetlen.
A befektetés veszteség kockázatával jár.
A CFD kereskedéssel kapcsolatban az ügyfelek 71%-a pénzt veszít ezzel a szolgáltatóval.
A befektetett tőkéd kockázatnak van kitéve.