Tőzsde

A volatilitás egy olyan mutató, amelyet a tőzsdén használnak egy adott eszköz árának időbeli változásainak mérésére. Ha egy eszköz ára sokat változik, azt mondjuk, hogy az "nagyon volatilis".
A volatilitás tehát nem más, mint olyan egy mutató, amelyet egy adott eszköz árváltozásának mérésére használnak. Ha az ár sokat változik, azt mondjuk, hogy a kérdéses eszköz nagyon volatilis.
Egy eszköz volatilitásának kiszámításához általában a szórást használjuk. Ez mutatja meg a változó átlagos szóródását. Az eszköz árának átlagos szóródása a volatilitását jelzi.
Sokszor nem is szükséges a szórásra hagyatkozni hogy megtudjuk, egy eszköz nagyon volatilis-e. Az árat figyelembe véve és a változásait megfigyelve nagyjából tudjuk, hogy az eszköz nagyon volatilis-e vagy sem.
Mindazonáltal meg kell jegyeznünk, hogy mindig a múltbeli volatilitásról és árváltozásokról beszélünk. A nehezebb dolog nem a múltbeli volatilitás megtalálása, hanem a jövőben várhatóé. A leggyakrabban használt mutató a jövőbeli volatilitás előrejelzésére a piacon a VIX index, amelyet a befektetők a "félelem mutatójaként" is ismernek.
A volatilitás egy nagyon ismert és fontos fogalom a tőzsde világában. A pénzügyi volatilitás meghatározó szerepet játszik egy befektetés végrehajtásakor.
Ahogy már tudjuk, a volatilitás egy eszköz árának időbeli változását jelenti. Ha az eszköz nagyon volatilis, akkor jelentős veszteségeket szenvedhetünk el. Ez a volatilitás akár el is fogyaszthatja a garancia tőkénket, ami egy margin call-t eredményezhet a bróker részéről.
Ezért végzünk elemzéseket, mint például a biztonsági margin elemzése, amely lehetővé teszi, hogy megtudjuk, képesek vagyunk-e vállalni az adott volatilitást vagy sem, és hogy befektetünk-e az eszközbe. Ugyanígy megkaphatjuk a brókerünk margin call előzetes figyelmeztetését, amelyben értesítenek minket egy várhatóan nagy volatilitású időszakról, valamint arról, hogy nagyobb alap befizetésére van szükség annak kezelésére.
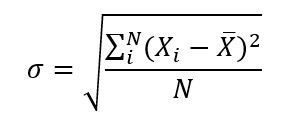
Egy adott eszköz volatilitásának kiszámítása a szórással lehetséges. Így kiszámíthatjuk egy változó múltbeli szórását, ebben az esetben egy eszköz árát.
A számítás módja a szórások négyzetre emeléséből indul ki. Ezután az eredményt elosztjuk az összes megfigyelés számával. Végül, hogy megszerezzük a szórás értékét, és így a volatilitást, négyzetgyököt vonunk.

Mindazonáltal fontos megjegyezni, hogy múltbeli volatilitásról beszélünk ebben az esetben. A várható volatilitásra más mutatókat használnak, mint amilyen például a volatilitási index vagy VIX index, amit a következőkben fogunk megvizsgálni.
A volatilitási index, VIX index vagy félelemindex egy olyan indikátor, amelyet a pénzügyi piacok várható volatilitásának előrejelzésére használnak.
Ez a rövid távú amerikai pénzügyi piacok várható volatilitását mutatja.
Neve az angolból származik, ahol a rövidítés a Volatility Index, szavakra utal, ami magyarul volatilitási indexet jelent.
Annak ellenére, hogy egy amerikai piacra összpontosító indikátorról beszélünk, léteznek más indexek is, mint például a VSTOXX vagy a VXN, amelyek ugyanezt mérik, de az Euro Stoxx 50 és a Nasdaq számára.
Fontos megjegyezni, hogy beszélhetünk volatilitás típusokról is.
Attól függően, hogy milyen mérést végzünk, a volatilitást a következőképpen oszthatjuk be:
Időszak szerint (múlt vagy jövő):
A minta szerint:
Ahogy egy részvény árával számolunk, úgy számolhatunk egy alap árával is. Lehetőségünk van elemzni ezen pénzügyi termékek volatilitását a részvételi ár alapján.
Amikor befektetünk egy befektetési alapba, részesedéseket vásárolunk egy meghatározott áron. Annak ellenére, hogy ezek a részesedések számos eszköz között vannak diverzifikálva, a részvételi ár az, amely tükrözi azokat a változásokat, amelyek az adott alapot alkotó eszközökben bekövetkeznek.
Ezért elegendő kiszámítani a szórását a részesedések árának, hogy megismerjük ezen pénzügyi termék volatilitását. Ugyanúgy, mint egy részvény vagy más típusú eszköz esetében.
A volatilitás egyértelmű példáját találjuk meg a bitcoinban.
Ez a világ legismertebb kriptovalutája, és mint tudjuk, nagyon volatilis eszköz.
Ára a múltban néhány nap alatt több, mint 200%-kal értékelődött fel. Ehhez hasonlóan 100%-nál nagyobb mértékű zuhanásokat is tapasztalt.
Ez tehát egy nagyon volatilis eszköz. Az ár hirtelen változásai pedig kockázatot jelentenek a befektető számára, amit figyelembe kell vennie, mielőtt döntést hozna a befektetésről.