Grafikon elemzés

Ebben a cikkben elmagyarázzuk, mi a Fibonacci-visszatérés, hogyan számítjuk ki, és milyen fontos szerepe van a piaci korrekciók megjósolásában egy trendmozgás során.
A FIBONACCI-VISSZATÉRÉS egy technikai elemzési eszköz, amelyet a pénzügyi piacokon használnak a potenciális támasz- és ellenállási szintek azonosítására a Leonardo Fibonacci által felfedezett matematikai sorozat alapján. Ezeket a százalékos arányokat egy előző ármozgás nagyságára alkalmazzák, hogy előrejelezzék, hova térhet vissza az ár, mielőtt folytatódna az eredeti trend iránya.
Mikor piacokról vagy egy adott eszköz adatainak grafikus ábrázolásáról beszélünk, láthatjuk, hogy az árak folyamatosan mozgásban vannak, az impulzusok és korrekciók által meghatározott módon.
Az impulzus egy meghatározott mozgás a pillanatnyi trend irányába. Nézzünk erre egy példát!
Tegyük fel, hogy egy impulzus nagysága 100 egység! Ha a következő mozgás az impulzus irányával ellentétes és kevesebb mint 100 egységnyi utat tesz meg, akkor azt mondjuk, hogy a második mozgás egy korrekció. Amikor a korrekció befejeződik, új impulzus kezdődik.
Ez teszi olyan fontossá a Fibonacci-visszatérést: lehetővé teszi számunkra, hogy a lehető legkorábban lépjünk be a piacra, a trend irányának megfelelően.

Itt fekete nyilakkal láthatjuk az impulzusokat és piros nyilakkal a korrekciókat.
A grafikonon látható, hogy a korrekciók mindig kisebbek az azokat megelőző impulzusoknál. Ez azt jelenti, hogy csak az impulzus egy részét "korrigálják". Ráadásul látható, hogy egy-egy korrekció nagysága általában arányos az azt megelőző impulzus mértékével.
👉 További információért: Technikai elemzés: Alapelvek, elméletek és mutatók
A FIBONACCI-VISSZATÉRÉS matematikai képletek segítségével számítja ki, elméletben milyen hosszúnak kellene lennie egy-egy impulzus korrekciójának.
A leggyakoribb visszatérési szintek a következők: 23,6%; 38,2%; 50%; 61,8%; és 76,4%. Emellett megemlíthetjük még az 50%-ot és a 88,2%-ot is.
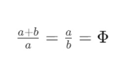
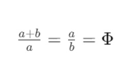
Az aranymetszés, más néven aranyarány egy irracionális szám, amely különleges matematikai tulajdonságokkal bír. Általában a görög phi (Φ) betűvel jelölik és a hozzávetőleges értéke 1.618033988749895.
Ez az arány egy vonal két szegmensre osztásából származik, úgy, hogy a hosszabb és a rövidebb rész közötti arány megegyezik a teljes hossz és a hosszabb rész közötti aránnyal. Ezt az alábbi képlettel is kifejezhetjük:

Ahol a a hosszabb rész hossza és b a rövidebb rész hossza.
Az aranyszám szorosan kapcsolódik a Fibonacci-sorozathoz, ahol az első két számot követően minden szám az előző kettő összege (0, 1, 1, 2, 3, 5, 8, 13, ...). Ahogy a sorozat halad, a szomszédos számok közötti arány egyre jobban közelít az aranyarányhoz (Φ).
Az alábbiakban megnézzük, hogyan ábrázolhatjuk a Fibonacci-visszatérést! Ehhez egy úgynevezett Fibonacci retracement toolt fogunk használni, amely automatikusan megjeleníti az egyes visszatérési szinteket.
A korrekció várható végének kiszámításához, húzzunk egy vonalat a korrigálandó impulzuson.
Ha Fibonacci-visszatérést keresünk egy medve impulzusnál, a vonal első pontját az impulzus kezdetén (fent), a második pontot pedig az impulzus végén (lent) helyezzük el. Az eszköz automatikusan megjeleníti a különböző korrekciós százalékos értékeket.

Ha Fibonacci-visszatérést keresünk egy bika impulzusban, akkor a vonal első pontját az impulzus alacsony zónájába helyezzük, a második pontot pedig az impulzus legmagasabb részébe. Ezután itt is automatikusan megjelennek a különböző korrekciós százalékos értékek.

Most pedig nézzük meg, hogyan használhatod fel mindezt kereskedés során!
A Fibonacci-visszatéréseket használjuk a lehetséges korrekciós zónák kiszámítására, mintázat keresésére a zónában és korai csatlakozásra az új impulzushoz. Ez a módszer emelkedő és csökkenő trendek esetén egyaránt működik.
Fontos figyelembe venni, hogy mikor a korrekciók elejét és végét keressük, “zónákat” kell kijelölnünk, nem konkrét pontokat vagy értékeket. Ezek a zónák vagy sávok támasz- vagy ellenállási zónák, ahol a piac visszapattan az új impulzus indításához.
Van tehát egy sorozatunk, amely 23,6%-tól 76,4%-ig tart. De honnan tudjuk melyik visszatérési szintet kell alkalmaznunk?
A struktúra fázisától függően az alábbi opciók egyikét fogjuk használni:
Az első korrekciók a 61,8% és 76,2% területre irányulnak. Ahogy a struktúra halad előre, a korrekciós zóna csökken a piaci erő növekedésével.

Itt tökéletesen látható, hogy ahogy a struktúra halad vagy "érik", a korrekciók kisebbek, a struktúra kezdeti 61,8% és 76,4% sávjáról egy új, kisebb sávra, 38,2% és 50% közé lépünk.
A lenti ábrán egy egyértelműen csökkenő tendenciát láthatsz, egy nagyon előrehaladott struktúrával. Itt a korrekció kisebb, a 38,2% és 50% közötti zónában van.

Most pedig nézzünk egy teljes példát!
Ezen a grafikonon impulzusok és korrekciók komplett sorozatát láthatjuk mindkét irányban:

Tehát itt is láthatjuk, hogy a zónák 61,8% és 76,4% között vannak egy piaci fordulat utáni első korrekciók után. Amikor pedig a struktúra előrehaladott vagy érett, a zónák a 38,2%-os és az 50%-os szintek között vannak.
A Fibonacci-visszatérések mellett beszélhetünk Fibonacci-előrejelzésekről is. A Fibonacci-előrejelzések segítségével meghatározhatjuk a várható zónát, ahol egy impulzus véget érhet.
A Fibonacci-visszatérésekkel megtalálhatjuk a korrekció legvalószínűbb befejezési zónáit, a Fibonacci-előrejelzések pedig az impulzus legvalószínűbb befejezési zónáját mutatják.

Természetesen akár együtt is használhatjuk a kettőt:
Így majdnem tökéletesen meghatározhatjuk a várható fordulózónát a korrekció végén.

Az impulzus- és korrekciós mozgások struktúrákat alkotnak.
Az egyik zseni, aki a legtöbbet tanulmányozta ezeket a mozgásokat, éppen az volt, aki meghatározta, hogyan alkalmazzuk a Fibonacci-sorozatot a pénzügyi piacokon.
1930-ban Ralph Nelson Elliot kidolgozta a hullámok elvét, vagy ahogy azt jobban ismerjük, az Elliott-hullámok elméletét. Ő volt az, aki a legátfogóbb tanulmányokat készítette a piaci mozgásokról.
Az ideális Elliot-hullám bármely piacon a következő lenne:

Itt láthatjuk az összes Fibonacci-visszatérés és -előrejelzés egymással való kapcsolatát és elhelyezkedését egy "ideális Elliott-hullámon" belül.
A Fibonacci-számokat a befektetés és kereskedés számos területén felhasználhatod. Nézzünk néhány példát ezekre:
Az alábbi cikkek is érdekelhetnek: